関節リウマチ以外の疾患での抗CCP抗体陽性率
前回、抗CCP抗体は脊椎関節炎で高率に陽性になると話しました。
しかし、それ以外の疾患でも陽性になる事が知られています。
今回は関節リウマチ以外の疾患での抗CCP抗体陽性率についてまとめたいと思います。
お時間がない方は最後のまとめからお読み下さい。
脊椎関節炎での抗CCP抗体陽性率に関してはこちら。
抗CCP抗体の他疾患での陽性率(2009年)

●上記の表は2009年に報告された論文で、それまでに関節リウマチ以外の疾患で抗CCP抗体が陽性となった報告から陽性率をまとめたものです(文献1)。
●これを見ると、乾癬性関節炎の抗CCP抗体陽性率は前回にご紹介した論文(PMID=32340503)では30%を超えていますが、この報告では8.6%となっています。
●その他SLE、シェーグレン症候群、全身性強皮症でも5%以上、血管炎でも4.7%に陽性が認められます。
●リウマチ膠原病疾患以外では、圧倒的に結核で陽性率が高い事が分かります。
●その他C型肝炎、B型肝炎、変形性関節症、線維筋痛症でも陽性が見られます。
My Comments
●関節リウマチ以外の膠原病、脊椎関節炎、血管炎で抗CCP抗体の陽性率が高い事に加えて、結核やC型肝炎でも陽性率が高い事が分かります。
●抗CCP抗体の抗原となるシトルリン化蛋白は、炎症(PMID=16540548)や細胞のアポトーシス(PMID=11094435)が起こる部位で産生される事が知られています。結核では慢性炎症性肉芽腫の部位でシトルリン化蛋白が産生され、そして抗CCP抗体が産生されているのではないかと考えられています(PMID=18512773)。
●注意しなければいけないのは、この報告がされた後に各々の疾患の分類基準が変わっている場合があります。例えば、関節リウマチは2010年にACR分類基準が、SLEは2012年にSLICCの分類基準が発表されています。よって、このデータが現在の関節リウマチ以外のリウマチ膠原病疾患の抗CCP抗体陽性率を直接反映するかどうかはわからない事に注意が必要です。
●また、この報告はある一時点での横断的な報告ですので、実は長期フォローをすると、抗CCP抗体が陽性であった膠原病疾患に関節リウマチが併発する可能性については否定できません。
●特にSLEやシェーグレン症候群、強皮症は関節リウマチとしばしば併発しますので、長期的なフォローをした際に関節リウマチを発症したかどうかの結果が求められます。
抗CCP抗体の他疾患での陽性率(2014年)
●2014年にも関節リウマチ以外の疾患の抗CCP抗体陽性率を調べた大規模な研究がありました(文献2)。
●この研究では関節リウマチを含めた患者1140人の抗CCP抗体を調べています。
※患者の詳細は以下。
・RA 36.6%(n=417)
・PsA 10.7%(n=122)
・Spondyloarthritis(SpA) 6.7%(n=76)
・Unclassified rheumatism 5.4%(n=62)
・Juvenile arthritis 3.9%(n=44)
・SSc 3.2%(n=37)
・SS 2.9%(n=33)
・SLE 2.7%(n=31)
・Mixed connective tissue disorder 2.4%(n=25)
・Unclassified connective tissue disorder 1.2%(n=14)
・Noninflammatory diseases 24.3%(n=279)
●結果は以下の通りになりました。

●それぞれの疾患の抗CCP抗体陽性率は以下。
・RA 292/417(70.0%)
・PsA 13/122(10.7%)
・Other SpA 2/76[2.6%; SAPHO 1; Reactive arthritis 1]
・Unclassified rheumatism 13/62(20.9%)
・SS 11/33(33.3%)
・SLE 5/31(16.1%)
・Mixed connective tissue disorder 2/25(8.0%)
・SSc 4/37(10.8%)
・Unclassified connective tissue disorder0/14(0.0%)
・Juvenile arthritis 7/44(15.9%)
・Noninflammatory diseases 6/279(2.1%; Osteoarthritis 3; Metabolic rheumatism 3)
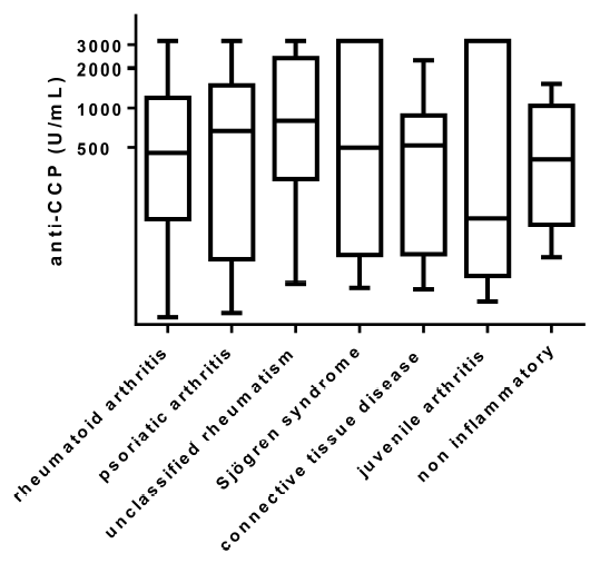
この研究では各疾患での抗CCP抗体の力価についても調べています。
各疾患における抗CCP抗体抗体価の違い

●抗CCP抗体陽性疾患の抗体価の平均値は以下の通りで有意差なし(p = 0.865)。
・関節リウマチ:854.8(±959.8) U/ml
・他の疾患:922.7(±1070.0) U/ml
My Comments
●やはり『関節リウマチ以外の膠原病での抗CCP抗体陽性率は高い』という結果です。
→前述した通り、抗CCP抗体の抗原であるシトルリン化蛋白は疾患を選ばず、炎症がある部位に発生するため、上記の様な慢性の炎症を起こす可能性がある疾患は抗CCP抗体が産生されるようになってもおかしくないと考えるべきでしょう。
●こちらの研究も前述したように、長期的なフォローの中で関節リウマチを併発する可能性は否定できません。
→しかし著者らは抗CCP抗体測定時の各疾患の平均罹病期間が13.2年(±10.5年)であると示しており、そもそも原疾患の罹病期間が長いので、そこからさらに関節リウマチを併発する可能性は低いのではないかと考察しています。
●驚くべきは、関節リウマチと各々の疾患の間で抗CCP抗体の抗体価に差がないという事です。これでは抗CCP抗体が高いから関節リウマチだと言い切れなくなります。
●ちなみにこの研究で用いられている抗CCP抗体は日本のものとは違い、カットオフ値が25 U/mlとなっています。抗CCP抗体は様々な会社から測定キットが出されており、論文を読む際にはカットオフ値の違いがある事に注意が必要です。
抗CCP抗体の検査キット

●上記は文献3より引用した表です。
●カットオフ値が4.5 U/mlと25 U/mlのものがある事に注意しましょう。
●ちなみに今巷で流行している抗CCP抗体は第2世代で第1世代よりも精度が良くなっています。上記に第3世代のキットも示しておりますが、第2世代と第3世代とでは精度がそれほど変わらないと言われております。
まとめ
●抗CCP抗体は陽性率に差はあるものの、関節リウマチ以外の膠原病(SLE、シェーグレン症候群、全身性強皮症、混合性結合組織病)や脊椎関節炎(特に乾癬性関節炎)、血管炎、さらには慢性炎症を起こし得る結核、C型肝炎などで陽性となる。
●抗CCP抗体の抗原であるシトルリン化蛋白がそもそも炎症部位や細胞がアポトーシスを起こす部位で頻繁に産生される。
→それに対する抗体は慢性炎症疾患では陽性になり得る。
●関節リウマチと各々の疾患の間で抗CCP抗体の抗体価に差がない。
→『抗CCP抗体が高いから関節リウマチ』だとは言い切れない。
【参考文献】
(1) Aggarwal R, et al. Arthritis Rheum. 2009 Nov 15; 61 (11): 1472-83. "Anti-citrullinated peptide antibody assays and their role in the diagnosis of rheumatoid arthritis."
(2) Payet J, et al. J Rheumatol. 2014 Dec;41(12):2395-402. "Anticyclic citrullinated peptide antibodies in rheumatoid and nonrheumatoid rheumatic disorders: experience with 1162 patients."
(3) Hayashi N, et al. Nihon Rinsho Meneki Gakkai Kaishi. 2013; 36 (2): 104-14. "Comparison of nine second- and third-generation anti-cyclic citrullinated peptide antibody assays for the diagnosis of rheumatoid arthritis"